流式细胞术
项目介绍
流式细胞术(FCM)是一种对处在快速流动中的细胞或其它生物微粒逐个进行多参数的快速定量分析和分选的技术。它集计算机技术、激光技术、流体力学、荧光标记技术、单克隆抗体技术、细胞免疫学于一体,按照细胞或生物颗粒的物理或化学性质,同时具有分析和分选细胞或生物颗粒的功能。项目优势
● 快速,最高每秒可测数万个细胞● 灵敏度高,可检测弱抗原表达
● 抗原表达特异性较高
● 可进行单细胞多参数分析,同一试管中可同时检测多种抗原
项目领域
免疫学:流式细胞术可以用于研究细胞周期或DNA倍体与细胞表面受体及抗原表达的关系;进行免疫活性细胞的分型与纯化;分析淋巴细胞亚群与疾病的关系;免疫缺陷病如艾滋病的诊断;器官移植后的免疫学监测等。细胞生物学:流式细胞术可用于定量分析细胞周期并分选不同细胞周期时相的细胞;分析生物大分子如DNA、RNA、抗原、癌基因表达产物等物质与细胞增殖周期的关系,进行染色体核型分析,并可纯化X或Y染色体。
肿瘤学:流式细胞术可以根据DNA倍体含量测定鉴别良、恶性肿瘤的特异指标;DNA倍体测定技术,可以对白血病、淋巴瘤及肺癌、膀胱癌、前列腺癌等多种实体瘤细胞进行探测;用单克降抗体技术清除血液中的肿瘤细胞。
血液学:流式细胞术可用于血液细胞的分类、分型,造血细胞分化的研究,血细胞中各种酶的定量分析,如过氧化物酶、非特异性酯酶等;用NBT及DNA双染色法可研究白血病细胞分化成熟与细胞增殖周期变化的关系,检测母体血液中Rh factor或抗D抗原阳性细胞,以分析胎儿是否可能因Rh血型不合而发生严重溶血;检测血液中循环免疫复合物可以诊断自身免疫性疾病,如红斑狼疮等。
药物学:流式细胞术可以检测药物在细胞中的分布,研究药的作用机制,亦可用于筛选新药,如化疗药物对肿瘤的凋亡机制,可顺利获得测DNA凋亡峰,Bcl-2凋亡调节蛋白等。
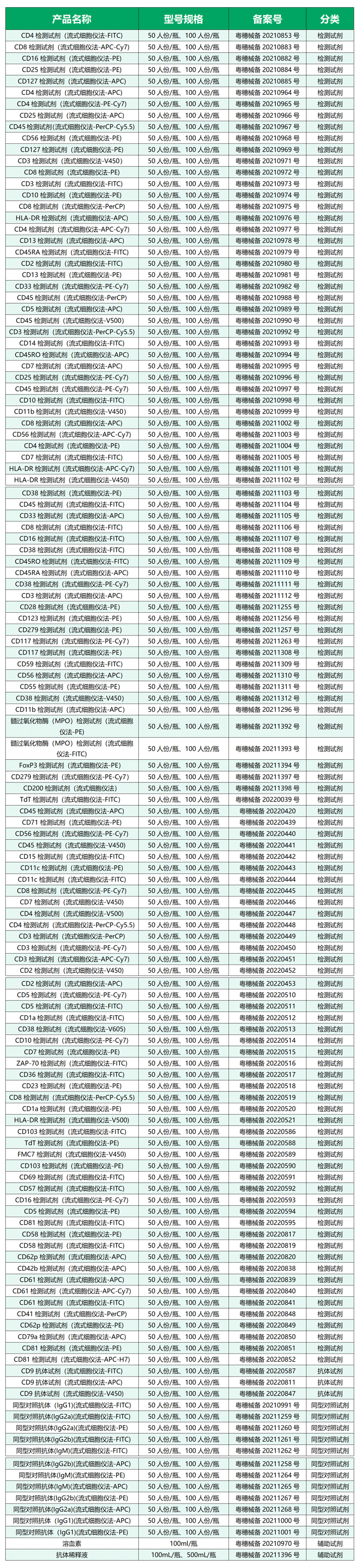
产品信息
